“简牍故里·中国里耶” ——2025年里耶秦简书法作品展(八)
掌上龙山 • 美物
2025-09-26 14:47:02
![]()
![]()
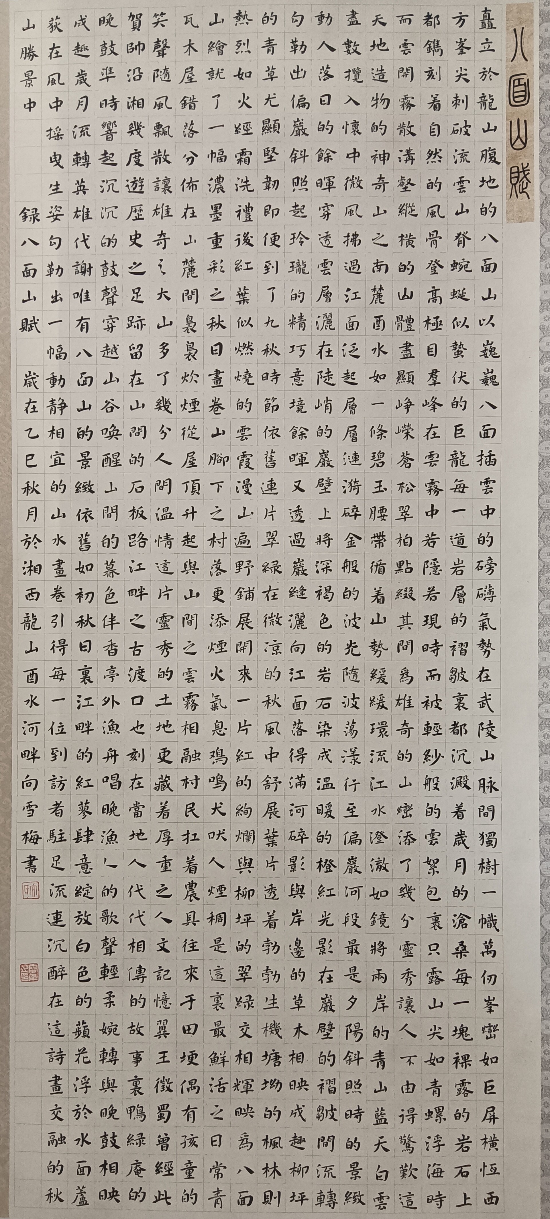
向小芝 (向春晖)《里耶八面山赋》
叶明秋 《赞贺清沙溪新居》(《里耶诗词集》摘录)
向沙沙 (向春晖)《里耶八面山赋》(摘录)
黄立东《里耶秦简记载摘录》
向雪梅 (向春晖)《八面山赋》
刘守元 (东汉·曹操)《观沧海》
吴素芳《里耶秦简出土》(摘录)
吴素园《里耶古城》(摘录)
尚梅《八面山高是父亲巍然的身躯》(摘录)
刘润秋(毛泽东诗词)《人民解放军占领南京》
田清源(毛泽东诗词)《人民解放军占领南京》
吴孟龙《里耶是神秘湘西的一张靓丽名片》摘录
吴孟龙《雄视湘边》
向梅娜《鸭绿凝幽色 渔歌逐落晖》对联
瞿纪雨 (欧金凤)《来自大山》(摘录)
吴元培《沁园春·里耶》
田丹《四省通衡百丈街》摘录
刘思思《远古洪荒里耶麦茶》(摘录)
张润思(宋·陆游)《六月初一日暑皆息中峰庵》
符东峰《里耶古城遗址》
符东峰《龙山里耶》
责编:朱柯源
一审:向波
二审:周娇
三审:张军
来源:龙山县文联
专题

版权作品,未经授权严禁转载。经授权后,转载须注明来源、原标题、著作者名,不得变更核心内容。
评论